SLW型雙管螺旋喂料器庫

該螺旋喂料機適用于干燥粉狀物料(如煤粉、水泥、谷物、砂石等)的均勻連續供料。
該設備采用擺線針輪減速機,加裝VF變頻器,調速范圍廣,運轉平穩、噪聲低、結構緊湊、體積小,可以方便地調節物料流量,滿足不同生產工藝要求。
型號說明:

雙管螺旋喂料機主要技術參數:
|
規格型號
|
轉速(r/min)
|
輸送能力(m3/h)
|
計算需要功(kw)
|
減速器型號
|
重量kg
|
|
Φ125×1500
|
20~80
|
2~5
|
0.491
|
BWD18-17-2.2
|
1160
|
|
Φ125×2500
|
20~80
|
2~5
|
0.871
|
BWD18-17-2.2
|
1340
|
|
Φ150×1500
|
26~79
|
5~10
|
0.987
|
BWD18-17-2.2
|
1550
|
|
Φ150×2500
|
26~79
|
5~10
|
1.635
|
BWD22-17-4.0
|
1750
|
|
Φ175×1500
|
25~80
|
6~16
|
1.57
|
BWD22-17-4.0
|
1750
|
|
Φ175×2500
|
25~80
|
6~16
|
2.62
|
BWD22-17-4.0
|
1850
|
|
Φ200×1500
|
25~80
|
8~25
|
2.45
|
BWD22-17-4.0
|
1820
|
|
Φ200×2500
|
25~80
|
8~25
|
4.09
|
BWD22-17-5.5
|
1980
|
|
Φ250×2500
|
20~65
|
11~34
|
5.55
|
BWD22-17-7.5
|
2450
|
|
Φ300×3000
|
20~65
|
20~65
|
12.5
|
BWD33-17-15
|
3050
|
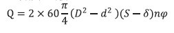
喂料能力計算:
![]()
式中
Q-雙管螺旋喂料機的喂料能力(速度為(m3/h)
D-螺旋葉直徑(m) δ-螺旋葉厚度(m)
d-螺旋桿直徑(m) n -螺旋的轉速(r/min)
S-螺旋的螺距(m) ф-物料的充滿系數(一般ф=0.9)
●SLW外形圖

SLW外形連接尺寸:
|
規格
|
a×a1
|
b×b1
|
c×c1
|
n1-d1
|
A×A1
|
B×B1
|
C×C1
|
|
Φ125x1500
|
200×500
|
270×570
|
320×620
|
20-Φ13
|
500×500
|
570×570
|
620×620
|
|
Φ125x2500
|
200×500
|
270×570
|
320×620
|
20-Φ13
|
500×500
|
570×570
|
620×620
|
|
Φ150x1500
|
200×600
|
270×670
|
320×720
|
24-Φ13
|
600×600
|
670×670
|
720×720
|
|
Φ150x2500
|
200×600
|
270×670
|
320×720
|
24-Φ13
|
600×600
|
670×670
|
720×720
|
|
Φ175x1500
|
230×700
|
310×780
|
360×830
|
28-Φ13
|
700×700
|
780×780
|
830×830
|
|
Φ175x2500
|
230×700
|
310×780
|
360×830
|
28-Φ13
|
700×700
|
780×780
|
830×830
|
|
Φ200x1500
|
250×800
|
330×880
|
390×940
|
28-Φ13
|
800×800
|
880×880
|
940×940
|
|
Φ200x2500
|
250×800
|
330×880
|
390×940
|
28-Φ13
|
800×800
|
880×880
|
940×940
|
|
Φ250x2500
|
250×1000
|
330×1080
|
390×1140
|
36-Φ13
|
1000×1000
|
1080×1080
|
1140×1140
|
|
Φ300x3000
|
250×1200
|
330×1280
|
390×1340
|
44-Φ13
|
1200×1200
|
1280×1280
|
1340×1340
|


